<span id="fpn9h"><noframes id="fpn9h"><span id="fpn9h"></span>
<span id="fpn9h"><noframes id="fpn9h">
<th id="fpn9h"></th>
<strike id="fpn9h"><noframes id="fpn9h"><strike id="fpn9h"></strike>
<th id="fpn9h"><noframes id="fpn9h">
<span id="fpn9h"><video id="fpn9h"></video></span>
<ruby id="fpn9h"></ruby>
<strike id="fpn9h"><noframes id="fpn9h"><span id="fpn9h"></span>

超低碳鋼中Al?Ti?O夾雜物的形貌演變和生成機理

Morphology evolution and formation mechanism of Al–Ti–O inclusions in an ultra low carbon steel

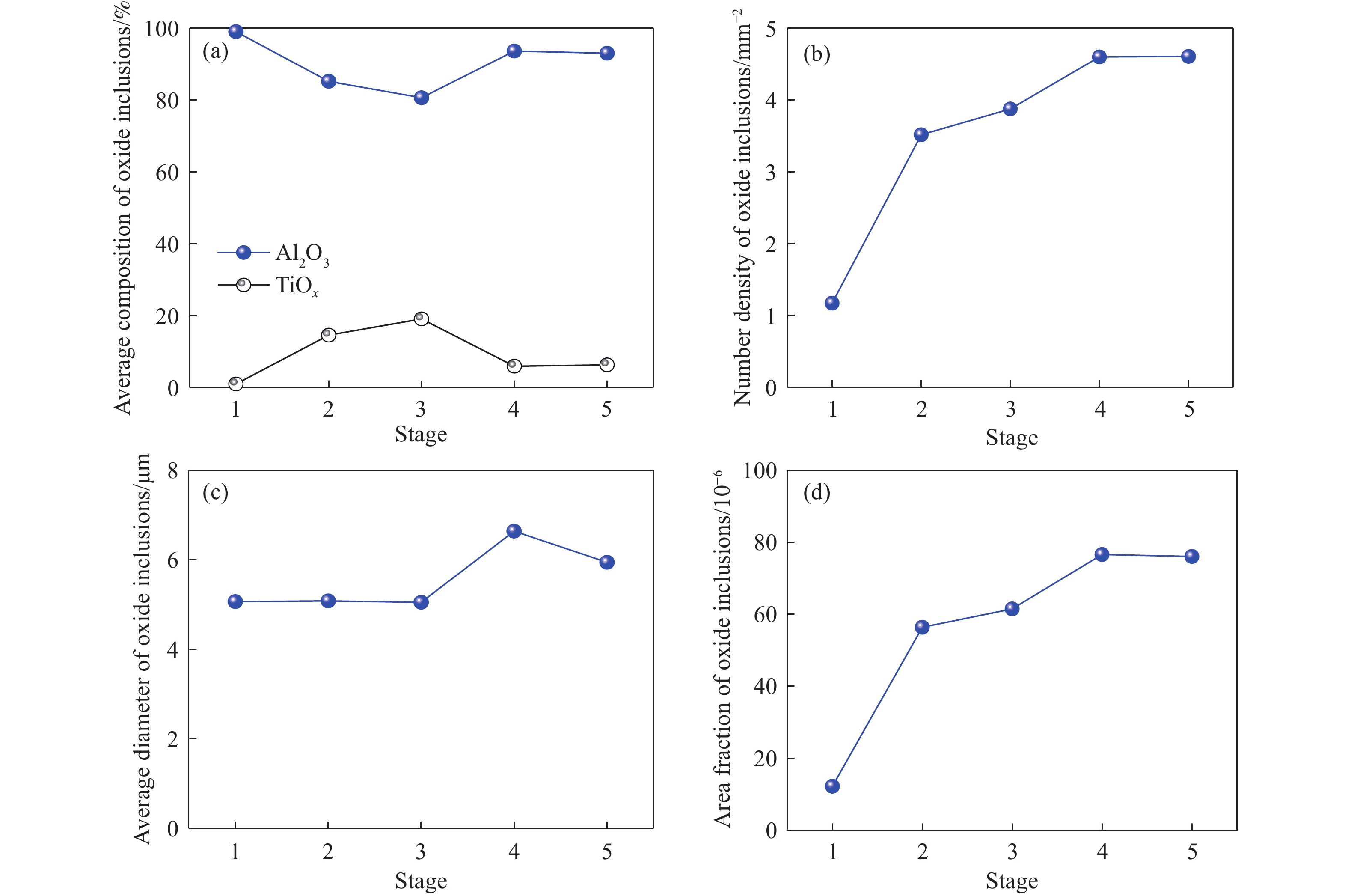
  • 摘要: 對超低碳IF鋼鈦合金化后的非金屬夾雜物進行了分析,研究發現鈦合金化后的夾雜物主要為Al2O3和Al?Ti?O夾雜物,沒有發現純TiOx夾雜物。鋼中生成的Al?Ti?O復合夾雜物從形貌上均可分為七種類型,四種具有Al2O3外層,另外三種無Al2O3外層。鈦合金化后,鋼中瞬態生成了大量無Al2O3外層的Al?Ti?O夾雜物,隨后夾雜物表面生成Al2O3外層,導致有Al2O3外層的Al?Ti?O夾雜物數量比例逐漸增加至78.0%。熱力學計算結果表明,隨著鋼中鈦含量的增加,夾雜物的轉變順序為固態Al2O3→液態Al?Ti?O→固態Ti2O3。確定了Al?Ti?O夾雜物的生成機理過程分為兩步:精煉過程鈦合金化后,當鋼液局部區域的鈦的質量分數高于0.42%時,Ti與鋼液反應瞬態生成Al2O3?TiOx或TiOx;隨著精煉過程中鈦元素的混勻,含TiOx夾雜物被鋼中Al還原,Al2O3?TiOx和TiOx夾雜物逐漸轉變,在夾雜物表面生成Al2O3

     

    Abstract: In the current study, Al–Ti–O inclusions after Ti-alloyed in an ultra-low carbon IF steel were analyzed. It was found that Al–Ti–O inclusions were classified into seven types based on their morphologies, including four types with an Al2O3 outer layer and the other three without the Al2O3 outer layer. Approximately 78.0% of Al–Ti–O inclusions had an Al2O3 outer layer. There was little separated TiOx inclusion detected in the steel. Without the consideration of the Al2O3 layer of Al–Ti–O complex inclusions, the core of Al–Ti–O complex inclusions was generally similar to that without the Al2O3 outer layer. Compared with the sample at 1 minute after the Ti addition, the number density of Al–Ti–O inclusions without an Al2O3 outer layer in the sample at 4 minutes after the Ti addition decreased by 0.21 mm?2, while the number density of Al–Ti–O inclusions with an Al2O3 outer layer increased by 0.19 mm?2. After the titanium alloying process, a large number of Al–Ti–O inclusions without the Al2O3 outer layer were transiently generated. Further, the Al2O3 outer layer was formed on the surface of inclusions, leading to the increase of the percentage of Al–Ti–O inclusions with the Al2O3 outer layer to 78.0%. Thermodynamic calculated results show that the evolution route of inclusions was solid Al2O3 → liquid Al–Ti–O → solid Ti2O3 with the increase of titanium content in the steel. The inclusion of Al2O3 was the only stable phase in the liquid steel in equilibrium, while the high concentration of titanium in the local steel during the titanium alloying process led to the formation of titanium-containing oxides. When the oxygen content in the steel was lower than 0.03%, inclusions were mainly solid Al2O3. Inclusions containing TiOx were formed with oxygen content in the local steel exceeding 0.03% during the reoxidation process. The formation mechanism of Al–Ti–O inclusions was divided into two steps. After the titanium alloying process in the refining, when the local titanium content in the steel was higher than 0.42%, the Ti reacted with the molten steel to transiently form Al2O3–TiOx and TiOx. With the mixing of the titanium in the molten steel, the generated TiOx-containing oxides were reduced by Al in the steel. Inclusions of Al2O3?TiOx and TiOx gradually transformed to Al2O3 on the surface.

     

/

返回文章
返回
<span id="fpn9h"><noframes id="fpn9h"><span id="fpn9h"></span>
<span id="fpn9h"><noframes id="fpn9h">
<th id="fpn9h"></th>
<strike id="fpn9h"><noframes id="fpn9h"><strike id="fpn9h"></strike>
<th id="fpn9h"><noframes id="fpn9h">
<span id="fpn9h"><video id="fpn9h"></video></span>
<ruby id="fpn9h"></ruby>
<strike id="fpn9h"><noframes id="fpn9h"><span id="fpn9h"></span>
www.77susu.com